Yapısal Olmayan Elemanlara Etkiyen Deprem Kuvvetleri

Yapısal Olmayan Elemanlara Etkiyen Deprem Kuvvetleri

Giriş

ProtaStructure, TBDY 2018 Bölüm 6’ deki hesap esaslarını dikkate alarak, yapısal olmayan elemanların deprem etkilerini belirlemektedir.

Bu dokümanda, yapısal olmayan elemanlar üzerindeki deprem etkilerinın TBDY 2018 Bölüm 6 uyarınca belirlenmesine dair hesap detayları paylaşılacaktır.

Bina Modeli Detayları

1 Bodrum ve 7 normal kattan oluşan, iki yönde farklı taşıyıcı sistem davranışı gösteren örnek bir yapı kullanılacaktır. Kat 4 ve Kat 7’de deprem kuvvetleri hesaplanması istenen yapısal olmayan elemanlar bulunmaktadır.


Kullanıcı Arayüzü


Yapısal olmayan Eleman Kuvvetleri” kullanıcı arayüzünde, Yapısal Olmayan Eleman Etiketi, TBDY 2018 Tablo 6.1-6.2 uyarınca Eleman Tipi, bulunduğu Kat Numarası ve Yapısal Olmayan Eleman Kütlesi kullanıcı tarafından programa tanıtılmalıdır. TBDY Bölüm 6 uyarınca verilen hesaplamalar ProtaStructure tarafından otomatik olarak gerçekleştirilmektedir.

Hesap Detayları

DD-2 Yer Hareketi Altında Elemana Etkiyen İvme Hesabı (Eşdeğer Statik)

TBDY 2018 6.2.1 uyarınca, “Aie, DD-2 deprem yer hareketi altında i’nci kattaki eleman veya donanımın döşemeye bağlandığı bölgeye etkiyen en büyük toplam ivmeyi, Be eleman veya donanıma uygulanan büyütme katsayısını” ifade etmektedir. İlgili hesap TBDY 2018 Denklem 6.2’ ye göre yapılmaktadır.

 

R =         TBDY 2018 Tablo 4.1’de tanımlanan taşıyıcı sistem davranış katsayısı

Tp =        Binanın gözönüne alınan deprem doğrultusunda hakim doğal titreşim periyodu

ui  =       Göz önüne alınan deprem doğrultusunda binanın i’inci katında azaltılmış deprem yüklerine
göre hesaplanan yatay yerdeğiştirme (Bu örnekteki 7. Kat)

I =          Bina önem katsayısı


DD-2 Yer Hareketi Altında Elemana Etkiyen Deprem Kuvveti Hesabı


TBDY 2018 6.2.1 uyarınca, “Eleman veya donanımın ağırlık merkezine yatay olarak etkiyen ve eleman veya donanıma etkiyen eşdeğer deprem yükü Fie aşağıda verilen TBDY 2018 Denklem 6.1 ile tanımlanır”. 


me =     Eleman veya donanımın çalışır durumdaki kütlesi

Aie =     DD-2 deprem yer hareketi altında i’nci kattaki eleman veya donanımın döşemeye
bağlandığı bölgeye etkiyen en büyük toplam ivme

Be =     Eleman veya donanıma uygulanan büyütme katsayısı

Re =     Eleman veya donanım için tanımlanan davranış katsayısı



DD-2 Yer Hareketi Altında Elemana Etkiyen İvme Hesabı (Mod Birleştirme)

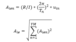
TBDY 2018 6.2.1 uyarınca, “Aie DD-2 deprem yer hareketi altında i’nci kattaki eleman veya donanımın döşemeye bağlandığı bölgeye etkiyen en büyük toplam ivmeyi, Be eleman veya donanıma uygulanan büyütme katsayısını” ifade etmektedir. TBDY 2018 Denklem 6.2.2(b)’ uyarınca “Bina taşıyıcı sistemi için 4.8’e.göre yapılan hesapta Aie, 4.8.1.2’e göre YM titreşim modunun her biri için binanın i’nci katında, eleman veya donanımın bulunduğu konumda, ilgili doğrultuda hesaplanan mutlak modal kat ivmesi Aien’lerin karelerinin toplamının kare kökü olarak alınacaktır. Aien Denk.(6.3) ile hesaplanacaktır”.



R =         TBDY 2018 Tablo 4.1’de tanımlanan taşıyıcı sistem davranış katsayısı

Tn =        Binanın n’inci doğal titreşim periyodu

uien =      Göz önüne alınan deprem doğrultusunda binanın i’inci katında azaltılmış deprem yüklerine göre hesaplanan yatay modal yerdeğiştirme

I =          Bina önem katsayısı

YM =     Yeterli mod adedi

X ve Y Yönleri Modal Yerdeğiştirmeleri  - Kat 7

Kat ivmeleri, TBDY 2018 4.8.4.1'e göre düzenlenmiştir. 


DD-2 Yer Hareketi Altında Elemana Etkiyen Deprem Kuvveti Hesabı (Mod Birleştirme)

Eşdeğer Statik ve Mod Birleştirme hesap yöntemleri arasındaki fark, kat yatay ivmesi Aie’nin hesabını etkilemektedir. Deprem kuvveti için yöntemde de TBDY 2018 Denlem 6.1 kullanılmaktadır. İlgili tanımlar Statik Eşdeğer yöntem başlığı altında verilmiştir.
Sonuçların karşılaştırılabilmesi adına Eleman özellikleri Statik Eşdeğer yöntemde kullanılan eleman ile aynıdır. Elemana etkiyen deprem hesabında kullanılan Be ve Re parametreleri değişmeyecektir.


TBDY 2018 6.2.3 uyarınca Denk.(6.1) ile hesaplanan eşdeğer deprem yükü, Denk.(6.5)’te verilen değerden daha küçük alınmayacaktır. İlgili kontrol ProtaStructure tarafından otomatik yapılmaktadır. 




Bu çalışmada 2018 Türkiye Bina Deprem Yönetmeliği kuralları gereğince yapısal olmayan elemanların üzerindeki deprem etkileri hesap detayları paylaşılmıştır. ProtaStructure “Yapısal Olmayan Eleman Kuvvetleri” makrosunun sonuçları detaylı el hesaplarıyla doğrulanmıştır. 



    • Related Articles

    • Düşey Deprem Etkileri

      ProtaStructure, düşey deprem hareketinin etkilerini iki yöntemle tasarıma yansıtabilir: Yaklaşık Statik Yöntem Modal Spektrum Analizi Yöntemi Yaklaşık Statik Yöntemde, düşey titreşim modları ve özel bir düşey spektrum dikkate alınmaz. Bunun yerine, ...
    • ProtaStructure ve ETABS Sonuçlarının Karşılaştırılması

      Kompleks bir süreç olan yapı tasarımında mühendislere yardımcı olmak üzere geliştirilen sayısız yazılımlardan biri de ETABS. Bildiğiniz üzere hem ülkemizde hem de dünyada sıkça kullanılan yazılımlar arasında. Bu çalışmada, ASCE 7-16 standardına göre ...
    • ProtaStructure ile TBDY 2018'e Göre Doğrusal Olmayan Şekil Değiştirmeye Göre Değerlendirme ve Tasarım

      Webinar İçeriği: Mevcut Bina Modellemesi Sismik Parametrelerin Doğru Seçilmesi Korozyon Faktörleri Değerlendirme Arayüzüne Genel Bakış Bilgi Kaysayısı Tahmini Donatı Oranları Değerlendirme Raporlarının İncelenmesi Yapının Güçlendirilmesi ...
    • ProtaStructure 2026 Temel Eğitim Kılavuzu

      ProtaStructure, betonarme ve çelik yapı tasarımı için ihtiyacınız olan sayısız aracı kullanımınıza sunmaya devam ediyor. Alanında deneyimli yapı mühendisleri tarafından geliştirilen ProtaStructure, yeni versiyonunda da çok sayıda yeni özellikle yapı ...
    • Deprem Derzi Boşluğu

      Giriş ProtaStructure, TBDY 2018 Bölüm 4.9.3’ deki hesap esaslarını dikkate alarak, “farklı zemin oturmalarına bağlı temel öteleme ve dönmeleri ile sıcaklık değişmelerinin etkisi dışında, bina blokları veya mevcut eski binalarla yeni yapılacak binalar ...