Nervür ve Kaset Döşeme Yükleri

Nervür ve Kaset Döşeme Yükleri

Kapsam

Bu doküman nervürlü ve kaset döşemelerin üzerindeki yüklerin hesaplanmasını ve analizini anlatmaktadır. Nervürlü ve kaset döşemelerin modellenmesi ve tasarımı bu döküman kapsamı dışındadır.

Yük Analizi İçin Alternatif Metodlar

Kırılma Çizgisi ile Yük Aktarımı

Nervürlü ve kaset döşemelerin varsayılan yük dağıtma yöntemi Kırılma Çizgisi Yöntemidir. Normal döşemelere benzer şekilde, kırılma çizgileri hesaplanır ve yükler, çevredeki çerçeve kirişlerine dağıtılır. Kaset döşemeler çift yönlü döşemeler olarak kabul edildiğinden dağıtım iki yönde yapılır. Nervür döşemeler dikkate alınıyorsa yük dağıtımı tek yönde yapılır.



Sonlu Elemanlar ile Yük Aktarımı

Bu yöntemde, yük hesabı yapılacak kat yapıdan izole edilir. Kirişler mesnet noktası kabul edilerek, döşemeler, kirişler ve perdeler sonlu elemanlar ağı ile parçalanır ve G ve Q yük durumları altında analiz edilir. Mesnet reaksiyonları hesaplanarak çerçeve kirişlerine yük olarak dağıtılır.


 

Bina Analizi ile Otomatik Dağıtımı

Kat  seviyesindeki döşemelerin rijitliği -isteğe bağlı olarak- bina analizi işlemi sırasında tüm bina modeline dahil edilerek bütünleşik çözüm yapılabilir. Döşemeler modele dahil edildiğinden yük dağıtımı aktarımı ortak düğüm noktalarındaki bağlantı bilgileri kullanılarak otomatik olarak yapılır.

Bunun için, “Döşemeleri Bina Modeline Dahil Et seçeneğini işaretlemelisiniz. Ağ oluşturulacak katlar menüsünde tüm katlarınız seçili olmalıdır.







 

Bu durumda, ilk iki yöntem kullanılarak hesaplanan yükler  gözardı edilir ve bina analizi sırasında otomatik olarak hesaplanan ve aktarılan yükler kullanılır. Bunun için ‘Kirişlere Aktarılmış Döşeme ve Nervür Yüklerini Kullan’ seçeneği işaretlenmemelidir.

Kaset Döşemelerin Öz Ağırlığı

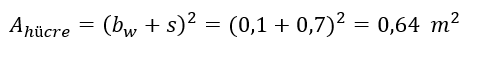
Kaset döşeme plak boyutları aşağıda verilmiştir:

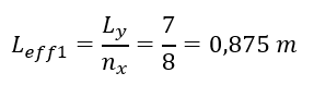
s = 700 mm, bw = 100 mm, h = 350 mm, hplak = 100 mm, Lx = 5000 mm, Ly = 7000 mm, nx = 8, ny = 5

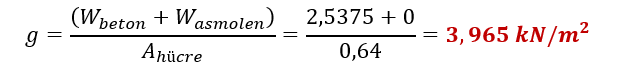
ɣbeton = 25 kN/m3, ɣasmolen = 0 (Bu örnekte asmolen yok) 





Hesaplamalar tek bir kaset hücresine ait ağırlığın hesaplanmasına dayanmaktadır.

Tek Bir Kaset Hücresinin Ağırlığı

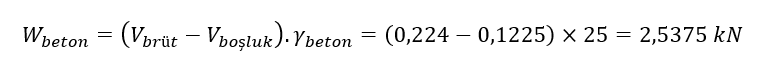
Brüt hücre hacmi



Boşluk Hacmi


Beton Ağırlığı



Dolgu Asmolen Ağırlığı (Bu örnekte asmolen yok)


Bir Hücrenin Plandaki Alanı



Kaset Döşemelerin Dağıtılmış Öz Ağırlığı


Nervür Kirişlerin Normal Döşemelere Dönüştürülmesi  (Kaset Döşemeler için)

Kirişleri hızlı bir şekilde modellemek için nervür kirişlerini normal kirişlere dönüştürebilirsiniz. Bu durum, bina analizinde kiriş rijitliklerini göz önünde bulundurmanıza olanak tanır ve yük dağılımı normal kirişlere benzer şekilde yapılır. Kaset veya nervür döşeme, dönüştürme işleminden sonra otomatik olarak silinir.

Nervür kirişleri normal kirişlere dönüştürmek için,
  1. ·         Kaset veya nervür döşemeyi seçiniz.

  1. ·         Sağ tıklayın ve “Nervürleri ve Kasetleri Kiriş Elemanlarına Dönüştür” komutunu seçin.


İsteğe bağlı olarak “Nervür Döşeme Yüklerini Kirişleri ‘Düzgün Yayılı ‘ olarak Dağıt ” seçeneğini seçerek, döşeme yüklerini yeni oluşturulan kiriş elemanlarına eşit olarak dağıtabilirsiniz.

Sonuç aşağıdaki gibidir .


Dönüştürülmüş Nervür Kirişlerindeki Düzgün Yayılı Yükler

Nervür kirişler normal kiriş elemanlarına dönüştürüldüğünde– Nervür Döşeme Yüklerini Kirişlere Düzgün Yayılı Dağıt seçiliyse döşeme ağırlığı Yön 1 ve Yön 2 kirişleri arasında eşit olarak paylaşıldığı varsayılır.

1 Yönündeki nervür kirişlerin payına düşen birim uzunluk

Yön 1 nervür kirişler üzerine eşit dağıtılmış düzgün yayılı yük

2 Yönündeki nervür kirişlerin  payına düşen birim uzunluk

Yön 2 nervür kirişler üzerine eşit dağıtılmış düzgün yayılı yük

Nervür Döşemelerin Öz Ağırlığı

Nervür döşeme ölçüleri aşağıda verilmiştir:

s = 700 mm, bw = 100 mm, h = 350 mm, hplak = 100 mm, Lx = 5000 mm, Ly = 7000 mm, ny = 5

ɣbeton = 25 kN/m3, ɣasmolen = 0 (dolgu yok)  

 


Nervür kirişlerinin metredeki ağırlığı (döşeme hariç)

Dolgu Asmolen Ağırlığı (Bu örnekte asmolen yok)

Nervür kirişleri arasında kalan döşemenin ağırlığı

Nervür Döşemenin Dağıtılmış Öz Ağırlığı,



Nervür Kirişlerin Normal Kirişlere Dönüştürülmesi (Nervür Döşemeler için)

Nervür kirişlerini normal kirişlere çevirme adımları kaset döşemelerle aynıdır.

Dönüştürülmüş Nervür Kirişlerindeki Düzgün Yayılı Yükler

Nervür kirişler normal kiriş elemanlarına dönüştürüldüğünde– Nervür Döşeme Yüklerini Kirişlere Düzgün Yayılı Dağıt  seçiliyse – döşemenin ağırlığının nervür kirişlerine eşit olarak dağıtıldığı varsayılmaktadır.

Nervür kirişin payına düşen uzunluk

Nervür kirişler üzerine eşit dağıtılmış düzgün yayılı yük