Giriş
ProtaStructure, TBDY 2018 Bölüm 15’ deki hesap esaslarını dikkate alarak, Mevcut ve güçlendirilecek tüm binaların ve bina türü yapıların deprem etkisi altında değerlendirmesini “Mevcut Bina Değerlendirme” özelliği ile kullanıcılarına sunmaktadır.
Bu dokümanda TBDY2018’in mevcut binalar ile ilgili kapsamı üzerinde durulacak ve ProtaStructure modelleme yaklaşımı ve seçenekleri anlatılacaktır. Son olarak örnek bir yapıda doğrusal elastik yöntem hesapları elle yapılarak ProtaStructure sonuçları ile karşılaştırılacaktır.
Yönetmelik Kapsamı
TBDY 2018 Madde 15.1 doğrultusunda “Mevcut Bina Değerlendirme” özelliği kapsamı aşağıdaki maddelerde açıklanmaktadır.
- Mevcut ve güçlendirilen yığma binaların kapasite hesabı, Bölüm 11’deki esaslar çerçevesinde yapılacaktır. Ancak mevcut yığma binaların bilgileri bu bölüme göre derlenecektir. (TBDY 2018 15.1.2)
- Mevcut ve güçlendirilen çelik binaların kapasite hesabı, Bölüm 4, Bölüm 5 ve Bölüm 9’da yeni yapılacak binalar için tanımlanan esaslar çerçevesinde yapılacaktır. Ancak mevcut çelik binaların bilgileri bu bölüme göre derlenecektir. (TBDY 2018 15.1.3)
- Mevcut ön üretimli betonarme binaların kapasite hesabı ilgili bölümlerde ( Bölüm 4, Bölüm 5, Bölüm 8) verilen esaslara göre yapılacaktır. Ancak mevcut ön üretimli binaların bilgileri Bölüm 15’e göre derlenecektir. (TBDY 2018 15.1.4)
- Bina türünde olmayan yapılar, tarihi ve kültürel tecilli yapılar ve anıtların değerlendirilmesi ve güçlendirilmesi Bölüm 15’in ve dolayısıyla Mevcut Bina Değerlendirme özelliğinin kapsamında değildir. (TBDY 2018 15.1.5)
- Binada hasara neden olan bir deprem sonrasında hasarlı binanın deprem güvenliği Mevcut Bina Değerlendirme özelliği kapsamı dışındadır.(TBDY 2018 15.1.6)
- Ancak depremden hasar almış ve güçlendirilmiş binalar TBDY 2018 Bölüm 15 uyarınca, Mevcut Bina Değerlendirme özelliği kullanılarak değerlendirilebilir. (TBDY 2018 15.1.7)
Gerekli Parametreler ve Mevcut Bina Modelinin Hazırlanması
Mevcut bina değerlendirilmeden önce sahada röleve çalışması yapılarak taşıyıcı sistemin son durumu, hasar durumu, mevcut malzeme dayanımları ve donatı miktarları belirlenmelidir.
Mevcut bina ProtaStructure’da tıpkı yeni bir bina modelleniyormuş gibi girilebilir. Model kurulduktan ve binadaki mevcut beton dayanımı belirlendikten sonra, tespit edilen malzeme dayanımları ProtaStructure’da yer alan ‘Malzeme’ bölümüne varsayılan malzeme olarak tanımlanmalıdır.
Binadaki kolon, kiriş ve perdelerde yer alan donatı miktarları varsa projeden bakılarak ProtaStructure modeline girilmelidir. Proje yoksa, yapılan rölöve çalışmaları sonucu seçilen elemanlarda tespit edilen donatı miktarları genelleştirilerek, ‘Tahmini Donatı’ olarak ProtaStructure’a tanıtılabilir. Her bir elemana ayrı ayrı girilebilen ‘Donatı Gerçekleşme Katsayısı’ ile istenirse kapasite azaltması da uygulanabilir.
Yapılan bina incelemelerinden edinilen bilgi doğrultusunda donatı korozyon bilgisi, verilen görüntülerde gösterildiği gibi kullanıcı tarafından tanımlanabilmektedir.
Donatı Gerçekleşme Katsayısı ve Korozyon Oranı bilgisinin nasıl verileceği aşağıdaki resimde gösterilmektedir. Bu katsayılar birden fazla elemana aynı anda tanımlanabilir.
TBDY 2018 Madde 15.2.2 uyarınca Mevcut Bina Değerlendirme işleminde dikkate alınan iki farklı bilgi düzeyi bulunmaktadır. Bunlar Sınırlı Bilgi Düzeyi ve Kapsamlı Bilgi Düzeyidir. Ayrıca, ProtaStructure Mevcut Bina Değerlendirme özelliği bünyesinde bulunan, “Diğer” seçeneği kullanılarak kullanıcı tanımlı üçüncü bir bilgi düzeyi katsayısı tanımlanabilmektedir.
Mevcut bina bilgi düzeyleri, bina üzerinde yapılan incelemeler ışığında, Bina Geometrisi, Eleman Detayları ve Malzeme Özellikleri olmak üzere üç temel başlık altında değerlendirilmektedir. Verilen başlıkların değerlendirilmesi, Mevcut bina incelemeleri ve rölöveler hakkında detaylı bilgi TBDY 2018 Madde 15.2.4 ve 15.2.5’de bulunmaktadır. Yapılan değerlendirmeler sonucunda, Sınırlı ve Kapsamlı bilgi düzeyleri için, sırasıyla 0.75 ve 1.00 katsayıları kullanılacaktır. (TBDY 2018 Tablo 15.1)
Analiz Modeli Oluşturulurken Dikkat Edilmesi Gerekenler
TBDY 2018 Madde 15.4.5 uyarınca Mevcut Bina Değerlendirilmesi yapılacak yapının analiz modelinin bu değerlendirmeye uygun bir biçimde hazırlanması gerekmektedir.Madde 15.4.6’ da verilen rijit diyafram varsayımları ve ek dışmerkezlik uygulanmaması gibi kurallar ProtaStructure tarafından otomatik olarak yapılmaktadır. Rijit diyafram varsayımları kullanıcı tarafından da istenirse detaylı olarak değiştirilebilir.
Madde 15.4.10 uyarınca rijit bölge tanımları ile ilgili düzenlemeler kullanıcı tarafından belirlenmektedir. Rijit bölgeler ile ilgili düzenlemeler, “Analiz Formu > Model Seçenekleri > Model” sekmesi altında, Rijit Bölgeler kısmından yapılabilmektedir. İlgili görsel aşağıda verilmiştir.
Madde 15.4.11 uyarınca kesite ait etkin kesit rijitlikleri kullanılmaktadır. ProtaStructure’da varsayılan olarak TBDY2018 Tablo 4.2 ’de verilen kesit rijitlikleri kullanılmaktadır. Etkin kesit rijitlik katsayıları “Bina Analizi > Model Seçenekleri> Model” sekmesi altında “Malzeme ve Etkin Kesit Rijitlik Katsayıları” bölümünden kontrol edilebilir.
Hesap Yönteminin Seçimi
Eşdeğer Deprem Yükü Yönteminin uygulanabilirliği için TBDY 2018 Tablo 4.4’de verilen kurallar Mevcut Bina Değerlendirme analiz için de geçerlidir.
R Katsayısı
TBDY 2018 Madde 15.5.1.1 ve 15.5.1.2 uyarınca her iki doğrusal hesap yöntemi (Mod Birleştirme Yöntemi ve Eşdeğer Deprem Yükü Yöntemi) için de Ra (Deprem Yükü Azaltma Katsayısı) katsayısı 1 olarak alınacaktır. Bu işlem ProtaStructure tarafından otomatik olarak yapılmaktadır.
Uyarı: Mevcut Bina Değerlendirme işlemi esnasında kırılma türlerinin doğru belirlenebilmesi için yapıya ait taşıyıcı sistem tipinin kullanıcı tarafından TBDY 2018 Tablo 4.1’e göre doğru bir şekilde seçilmesi gerekmektedir. Ek dışmerkezliklerin sıfırlanması, Ra = 1 ve I = 1 kullanımı gibi detaylar, mevcut bina değerlendirme işlemi sırasında ProtaStructure tarafından otomatik olarak ele alınmaktadır.
Genel Seçenekler
Mevcut Bina Değerlendirme analiz hesaplarında etkisi bulunan üç seçenek bulunmaktadır. Seçeneklere dair açıklamalar aşağıda verilmiştir. Bu seçenekler analiz ile ilgili kullanıcıya esneklik tanımlamak ve akademik ve test amaçlı kullanımın önünü açabilmek adına eklenmiştir. Bu seçeneklerin varsayılan değerleri yönetmeliğin öngördüğü kurallar doğrultusundadır.
Moment Eğrilik Analizinde Yalnızca Düşey Yükleri Kullan: TBDY 2018 Bölüm 15.5.2.3 uyarınca moment eğrilik analizinde deprem etkisi hesaba katılmaktadır. Bu seçenek işaretlendiğinde kolonların Moment eğrilik ilişkileri hesaplanırken eksenel yükün depremden dolayı değişmediği varsayılarak hesap yapılır. Bu da depremden dolayı eksenel çekme veya büyük eksenel basınç taşıyan kolonların moment eğrilik ilişkisinin hesaplanamadığı durumlarda değerlendirmeye devam edilebilmesini sağlayacaktır. Bu seçenek özellikle akademik ve test çalışmalarında kullanmak üzere kullanıcılara esneklik tanınabilmesi açısından sunulmuştur.
Kolon / Perde EKO Hesaplarında Etkin Akma Momentini kullan: ProtaStructure, EKO hesaplarında varsayılan olarak kolon ve perdeler için nihai dayanım kullanmaktadır. Ancak, bu noktada kullanıcıya esneklik tanımak adına “Etkin Akma Momenti” nin kullanımı seçenek olarak sunulmuştur.
Kiriş EKO Hesaplarında Etkin Akma Momentini kullan: Üstte verilen açıklama bu madde için de geçerlidir. Bu seçenek ile ayrıca kirişler ve kolon/perde elemanlarının EKO hesaplarına birbirinden bağımsız olarak müdahale imkanı sunulmaktadır. Kolon/Perde ve Kiriş elemanlarında EKO hesaplarında Etkin Akma Momentinin kullanımı EKO değerlerinin büyümesine neden olacaktır. Böylelikle değerlendirme yapılırken daha düşük kapasite kullanılacağından daha güvenli tarafta kalma ihtimali artacaktır. Ayrıca, EKO değerlerinin büyümesi yöntem geçerliliğinin sağlanması ihtimalini düşürebilir. Nihai dayanım ve akma momenti için ProtaStructure Mevcut Bina Değerlendirme arayüzünden alınmış örnek moment eğrilik çizimi aşağıda verilmiştir.
Doğrusal Hesap Yöntemlerinin Uygulama Sınırları
TBDY Madde 15.5.3 uyarınca Mevcut Bina Değerlendirme analizinde doğrusal hesap yöntemlerinin uygulama sınırları bulunmaktadır. Ancak bu uygulama sınırları oldukça katı sınırlar içermekte ve yöntemin kullanımını oldukça kısıtlayabilmektedir. Hem bu şartların sıkı olması hem de akademik/test çalışmalarının önünü açabilmek adına, yöntem geçerliliği kontrolleri ProtaStructure’da kullanıcıya seçenek olarak açılmıştır. Mevcut Bina Değerlendirme özelliği penceresinde “Yöntem Geçerliliği Kontrollerini Gerçekleştir” seçeneğini işaretleyerek yöntem geçerliliği üzerindeki kontrollerinizi otomatik olarak gerçekleştirebilirsiniz.
TBDY Madde 15.5.3 detaylı incelendiğinde, BYS’nin (Bina Yükseklik Sınıfı) 5’ten küçük olması ve B3 düzensizliği yöntemin kullanımını engellemektedir. Taşıyıcı elemanlar üzerindeki kesme kuvvetleri dikkate alınarak TBDY 2018 Denklem 15.1’e göre düzenlenen EKO değerlerinin, 15.5.3.1(c) ve (d) sınırlamalarını sağlaması gerekmektedir. Ayrıca, Genel Seçenekler başlığı altında belirtildiği gibi EKO değerlerinin büyümesi yöntem geçerliliğini engelleyebilmektedir. Kirişler için verilen sınırlama Madde 15.5.3.1(e)’de açıklanmaktadır.

Taşıyıcı Elemanların Kırılma Türüne Göre Sınıflandırılması
TBDY 2018 Madde 15.5.2.2 uyarınca, binadaki bütün elemanların kırılma türlerine göre sınıflandırılması gerekmektedir. Gevrek kırılma türündeki elemanlar sünek kırılma davranışını gösterene kadar bina değerlendirme hesaplarına dahil edilmemektedir ve güçlendirileceği varsayımı yapılmaktadır. Güçlendirilen elemanlar, sünek kırılma davranışı gösterdikten sonra, Mevcut Bina Analizi tekrarlanmalıdır. ProtaStructure, güçlendirildikten sonra sünek kırılma davranışı gösteren elemanları otomatik olarak hesaba katacaktır.
Elemanların kırılma türüne göre sınıflandırılması işleminde kullanılan hesap yöntemi basitçe aşağıda açıklanmaktadır. Elemanların kırılma türüne göre sınıflandırılması hesabında, eğilme kapasitesi ile uyumlu olarak hesaplanan kesme kuvveti Ve ‘nin TBDY 2018 Denklem (7.10)’da verilen koşulları sağlaması gerekmektedir. Taşıyıcı elemanların Ve hesaplarında;- Kolonlar için Madde 7.3.7
- Kirişler için Madde 7.4.5
- Perdeler için Madde 7.6.6
kullanılacaktır. Perde hesaplarında, Madde 15.5.2.2’de bulunan “Denk.(7.16)’da v β=1 alınacaktır” uyarısı ProtaStructure tarafından otomatik olarak dikkate alınmaktadır. Yukarıda detayı koşulları sağlayamayan elemanlar Gevrek olarak sınıflandırılacaktır. Elemanların kırılma türüne dair bilgi, Mevcut Bina Değerlendirme arayüzünde “Değerlendirme” kısmında, her eleman için gösterilmektedir. Örnek gösterim, aşağıda verilmiştir.
Değerlendirme Yönteminin Özeti
Yönetmelikte tarif edilen Mevcut Bina Değerlendirme yöntemi, Doğrusal veya Doğrusal olmayan hesap yöntemlerini kullanarak;- Eleman şekil değiştirmelerinin hesaplanması,
- Her bir elemanın kesit hasar bölgelerinin belirlenmesi,
- Eleman hasar durumları doğrultusunda en kritik katın belirlenmesi temeline dayanmaktadır. Belirlenen en kritik katın durumu ile bina performans düzeyi belirlenmektedir.
Doğrusal hesap yöntemlerinin kullanılması durumunda eleman plastik dönme talepleri ve hasar bölgeleri basitçe aşağıdaki gibi belirlenmektedir.
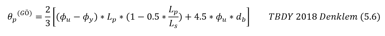
Yukarıdaki hesaplar sonucu ulaşılan eleman plastik dönme talepleri, aşağıda verilen sınırlar ile karşılaştırılarak eleman hasar bölgeleri belirlenmektedir.

Yukarıdaki şekilde verilen sınırlardan θp(GÖ), TBDY 2018 Formül 5.62’ye göre hesaplanmaktadır. Diğer sınır değerleri ise θp(GÖ) değerinden belirli katsayılarla türetilmektedir. (Bkz. TBDY 2018 5.8.1.3)
Mevcut bina elemanlarının yukarıda açıklanan hesap esaslarına göre hasar bölgelerine göre sınıflandırılması ve kritik katın belirlenmesi sonucunda, Mevcut Binaların Deprem Performans düzeyi kritik kata göre belirlenecektir. Mevcut Bina Değerlendirme işlemi sonucunda olası dört sonuç bulunmaktadır. Bu sonuçlar; Sınırlı Hasar Performans Düzeyi, Kontrollü Hasar Performans Düzeyi, Göçmenin Önlenmesi Performans Düzeyi ve bu performans düzeylerinin hiçbirinin sağlanamaması Göçme Durumu olarak değerlendirilecektir. Mevcut binaların deprem performans düzeylerinin belirlenmesine yönelik kurallar TBDY 2018 Madde 15.8’ de detaylı olarak açıklanmaktadır.